


路燈電纜是路燈實現照明亮化的重要載體,路燈電纜線質量的優劣直接關乎著亮化的質量及體驗。路燈電纜廠家-河南太平洋線纜生產的路燈電纜線采用無氧銅做導體,載流量大,發熱量小,使用壽命長,偏心率低,路燈電纜型號規格豐富,適合地埋敷設,常用于馬路邊、廣場等人流量大車多的地方使用,能承受機械壓力,耐腐蝕、耐重壓。
路燈電纜型號:yjv,yjv22,vv,vv22,yjlv,yjlv22
銅芯、鋁芯、交聯、聚氯乙烯、阻燃、耐火、低煙無鹵、地埋路燈電纜、信號控制電纜可選。
路燈電纜采用交聯絕緣絕緣電力電纜的優點是機械性能和電氣性能好,耐腐蝕、耐環境應力,而且不易燃燒,易加工等,使用單位施工方便。
路燈電纜規格:1/2/3/4/5芯,1~630平方均可選
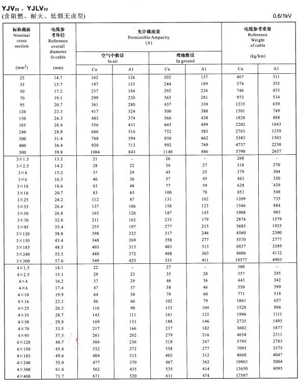
路燈電纜載流量

路燈電纜中性線截面選擇
路燈電纜廠家-河南太平洋線纜常年供應路燈電纜線,型號規格豐富,大量現貨,路燈電纜價格、報價聯系:15838252668
路燈電纜線可做成普通、銅芯、鎧裝、阻燃、耐火、低煙無鹵、低壓、交聯、絕緣電纜類型,規格型號豐富,大量現貨,發貨迅速
輻照交聯聚乙烯絕緣層 強度更好 不易脫落 防水阻燃
路燈電纜采用無氧銅/鋁做導體,電損小,能耗少,電力使用率高,能節能
400電話